Amplificadores operativos carril a carril OPAx172 de Texas Instruments

Amplificadores operativos carril a carril OPAx172 de Texas Instruments

Los amplificadores operativos carril a carril OPAx172 de Texas Instruments son amplificadores operativos de bajo ruido, fuente única y 36 V. Cada uno puede funcionar en fuentes de alimentación de +4,5 V (±2,25 V) a +36 V (±18 V). Estos amplificadores operativos CMOS de alta tensión proporcionan banda ancha, ruido y opciones de potencia para satisfacer las necesidades de una amplia variedad de aplicaciones. Los OPAx172 están disponibles en micropaquetes y ofrecen una baja corriente de compensación, desviación e inactiva. Estos dispositivos también ofrecen una amplia banda ancha, una rápida velocidad de precesión y una elevada capacidad de conducción de la corriente de salida. Las versiones sencilla (OPA172), dual (OPA2172) y cuádruple (OPA4172) tienen idénticas especificaciones para ofrecer la máxima flexibilidad de diseño.

Características
  • Amplio intervalo de alimentación: de +4,5 V a +36 V, de ±2,25 V a ±18V
  • Baja tensión de compensación: ±0,2 mV
  • Desviación de compensación baja: ±0,3 µV/°C
  • Ancho de banda de ganancia: 10 MHz
  • Baja corriente de polarización de entrada: ±8 pA
  • Baja corriente inactiva: 1,6 mA por amplificador
  • Bajo ruido: 7 nV/√Hz
  • Entradas filtradas RFI y EMI
  • El rango de entrada incluye el suministro negativo
  • El rango de entrada funciona con el suministro positivo
  • Salida carril a carril
  • Elevado modo común de rechazo: 120 dB
  • Paquete estándares de la industria
    • SOIC-8, VSSOP-8, SOIC-14, TSSOP-14
  • Micropaquetes
    • Sencillo en SC70, SOT-23
Aplicaciones
  • Amplificador de seguimiento en módulos de potencia
  • Suministro eléctrico de comercios
  • Amplificadores transductores
  • Amplificadores de puente
  • Medición de temperatura
  • Amplificadores de calibración de tensión
  • Integradores de precisión
  • Equipo de pruebas
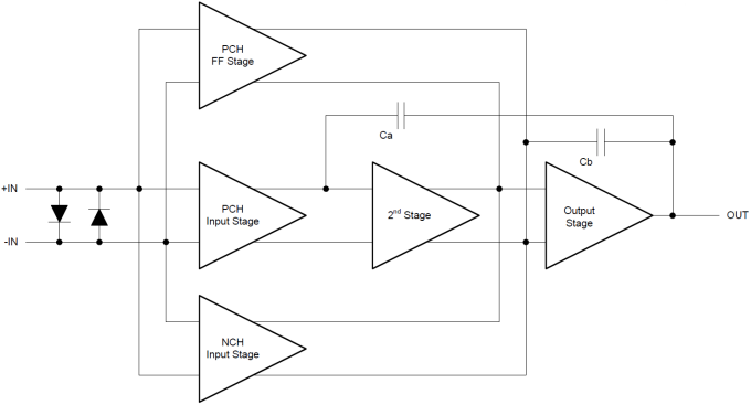
Diagrama de bloques funcional
Diagrama de bloques funcional

Módulos de evaluación de amplificadores operativos universales (EVM)

Los módulos de evaluación de amplificadores operativos universales (EVM) de Texas Instruments son placas de circuito en blanco para uso general que simplifican la evaluación de los amplificadores operativos. Cada diseño de placa del módulo de evaluación permite construir diversos circuitos de forma fácil y rápida. Cada una de estas placas contiene hasta cuatro zonas de desarrollo de circuitos separados que se pueden romper y separar. Estas placas son compatibles con los paquetes PDIP-8, PDIP-14, PDIP-16, SOIC-8, SOIC-14, SOIC-16, SOT23-6, MSOP-8, MSOP-10, TSSOP-14 y TSSOP-16.


Módulo de evaluación (EVM) DIP-Adapter-EVM

El módulo de evaluación (EVM) DIP-Adapter-EVM de Texas Instruments ofrece una forma sencilla y de bajo coste de crear prototipos de CI de montaje en superficie de pequeño tamaño. Este adaptador es compatible con los paquetes SOIC-8, TSSOP-8, MSOP-8, SOT23-6, SOT23-5, SOT23-3, SC70-6, SC70-5 y SOT563-6. Se puede utilizar con bandas terminales o conectarse directamente a los circuitos existentes mediante cables.

Características

Equipo de inicio rápido del amplificador de precisión AMPQUICKKIT-EVM

El equipo de inicio rápido del amplificador de precisión AMPQUICKKIT-EVM de Texas Instruments simplifica la selección, el diseño y la evaluación del amplificador operacional con muestras de seis amplificadores operacionales y un módulo de evaluación para crear prototipos de CI de montaje en superficie. El kit es el punto de inicio perfecto para sus diseños de amplificador.

Contenido del equipo
  • Seis muestras
    • Tres amplificadores de baja tensión y baja potencia
    • Tres amplificadores de amplio suministro y baja potencia
  • Admite los tipos de paquete SOIC-8, TSSOP-8, MSOP-8, SOT23-6, SOT23-5, SOT23-3, SC70-6, SC70-5 y SOT563-6.
eNews
  • Texas Instruments
Publicado: 2015-04-22 | Actualizado: 2022-03-11